
먼저 고백하면 '수학이라는 이름의 미궁'은 태평양에 꿀 한 방울 떨어뜨리고 ‘꿀바다’라고 이름 붙인 격이다.
'수능 수학'이라는 이름의 미궁이라고 제목 지으면, 없어 보이고
또 정확히 내가 다루고 싶은 건 수학 문제와 문제해결인데 범위가 너무 축소되지 않나싶어서 그랬다.
그러니 제목에 대해서는 양해를 부탁한다. 내가 수학에 대해서 잘 안다고 설치는게 절대로! 아니다.
방금 이야기한 것처럼 이 글에서 다룰 내용은 수학 문제와 문제해결이다.
그러니 2018학년도 30번 문제의 해설만 궁금하다면 EBSi의 해설을 보거나 기출 강의를 듣거나 기출 문제집의 해설을 찾기 바란다.
의도적으로 가형인지 나형인지, 수능인지 모의고사인지 아무 것도 명확히 밝히지 않았다.
그렇게 적으면 제목에서부터 편견을 가지고 믿고 거를까 걱정되서다.
그렇지만 여기서는 정확히 밝히겠다.
내가 다룰 문제는 2018학년도 대학수학능력시험 수학 영역 가형 30번 문제이다.
응 문과야~, 응 고2이야~ 하고 넘어가지 않았으면 좋겠다.
이 글의 대상은 수학 가형으로 수능을 볼 예정인 고3/N수생이 아니라, 이 글에 들어온 모두이다. 최대한 배려해서 적었지만 그래도 부족한 부분이 있을 수 있다.
그래도 괜찮다. 어차피 많은 내용이 이 문제와 직접 관련되지 않기 때문이다.
믿고 읽어봐도 손해가 아니다.
2018학년도 수능 가형 30번 문제를 굳이 고른 이유는 전혀 특별하지 않다.
그냥 어려운 문제니까 골랐다. 문제가 정해지기 전 이미 글의 소재는 2달도 전에 결정되어 있었다.
오히려 이 문제를 풀어보고 생각보다 별로 안 맞는 것 같다는 생각도 했다. 그래도 그냥 쓴다.
이유는 첫 번째로 임팩트를 주려면 센 문제를 들여오는 게 맞다는 생각에서고,
두 번째로 더 맞는 문제를 찾으려고 알아보기 귀찮았고
세 번째로 너무 잘 맞는 문제를 가져다놓았을 때 다른 문제로 잘 적용이 안 되면 그것도 문제이기 때문이다.
미리 예고한다. 정말 많은 내용이 문제와 직접 상관없는 이야기로 그려질 예정이다.
그렇지만 이 글은 나의 오랜 고민이 담긴 글이다. 그 고민을 한 문장으로 압축하면 이렇다.
'수학 공부 열심히 했는데, 왜 시험장에 오면 문제를 못 풀까?'
지금까지 많은 수학 강의를 봤고 칼럼을 읽었고 수기를 읽었고 조언을 구했다. 별 도움 안 되는 경우도 있었고 정말 그렇다싶은 경우도 있었다.
한 가지 문제점이 있다면 그 순간만의 느낌만 그랬다는 것이다.
다시 문제 속으로 들어오면 다시 같아졌고, 특히 시험장에선 똑같이 무력했다.
'네가 제대로 열심히 공부하지 않아서 그런 거다'
그렇게 생각하면 단순한 문제고 고민거리도 아니긴 하다.
여기서 잠깐 내 이야기를 해보면 내가 고등학생, 수험생일 때 성적표를 그리면 거의 항상 V자였다.
국어는 1등급 놓친 적이 수험생활 통틀어서 한 손가락에 꼽을 정도였다.
수학은? 말하고 싶지 않다.
나는 이과였다.
내가 수능보기도 전부터 수험 커뮤니티를 봐왔기 때문에 매번 수능 끝나고 어떤 글이 올라오는지 알고 있다. 그 중 기억에 남는 일화를 소개한다.
13학년도 수능, 언어 영역 1컷이 98점 2컷이 95점이었던 시험이었다. 의대를 위해 삼수를 했고 다른 과목은 점수가 높은 편이었는데 언어만 점수가 낮아서 삼수까지 한 사람의 글이었다. 정확히 기억은 안 나는데 그 시험에서 80후반인가 90점대 초중반의 점수를 얻어서 처음에는 이번엔 될 지 알았다했다. 예상 등급컷을 보고 꿈은 깨졌다. 3~4등급이었으니.
설마 그 사람이 그렇게 노력을 안 해서 그런 결과를 받고 한때는 꿈이었던 의사를 포기하지는 않았을 것 같다.
수능정도는 노력으로 극복 가능한 시험이라고?
인정한다. 수능 위의 시험들이 얼마나 어려운지 아니까. 그렇다고 해도 어려운 건 어려운 거다.
누군가에겐 쉽다고 해도, 누군가에겐 가능한 노력이라고 해도 말이다.
만년 V자인 나는 노력을 안 했었나? 그렇게 생각하기도 했다. 하지만 예전의 흔적들을 읽어보면 역시 쉽게 단정 짓기는 어렵다. 지금 봐도 놀라울 정도로 장황하게, 그럴 듯한 분석을 써놨었으니까.
내가 국어를 어려워했던 사람들을 이해하기 어려웠던 것처럼, 수학을 어려워했던 나를 이해하기 어려웠던 게 아닐까 그런 생각도 든다.
다시 '수능 수학' 앞으로 돌아온 이유는 남들 다 하는데 한다고 해도 안 되는 누군가에게 도움을 주고 싶어서다.
설령 잘하게 되지 못해도 그 이유라도 풀고 가라고.
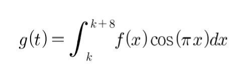
실수 t에 대하여 함수 f(x)를

이라 할 때, 어떤 홀수 k에 대하여 함수

가 다음 조건을 만족시킨다.
함수 g(t)가 t=α에서 극소이고 g(α)<0인 모든 α를 작은 수부터 크기순으로 나열한 것을 α1, α2, ···, αm (m은 자연수)라 할 때,

이다.

의 값을 구하시오. [4점]
그래도 제목에 18학년도 30번을 달고 있으니 우선 문제를 살펴보면서 시작하자.
실수 t에 대하여 함수 f(x)를 ~ f(x)의 정의
실수 t라는 말은 t는 실수라는 말이다. 별 거 아닌 거 같지만 표면적인 의미를 확인해보는 것도 중요하다.
함수 f(x)는 x를 변수로 하는 함수이다.
그 다음 f(x)를 정의해주는데, 애매하다. 단순해보이긴 하는데, 낯설고 어쨌든 절댓값도 섞여 있으니 이미 겁먹은 누군가고 있을 것 같다.
어찌되었든, │x - t│가 통째로 식과 구간 섞여있으니 보기엔 편한데, 구간 조건이 x로 주어지지 않은 게 불편하다.
이라 할 때, 어떤 홀수 k에 대하여 함수 ~ g(t)의 정의
k가 홀수이긴 한데, 특정되지는 않았다. 어쨌든 홀수가 필요하니까 조건을 줬겠지! 라고 마음 편히 넘어가는 사람도 있겠지만 누군가는 홀수..? 왜 하필 홀수지? 이런 조건 낯설다. 할 사람도 있을 것이다.
다음 함수 g(t)를 마주하면 그래도 이게 30번은 맞구나 하겠다.
별 생각 없이 읽는 사람이면 g(x)라고 넘어갔을 것 같다. 그렇다면, 이미 걸러진 거고.
이 문제를 여기서 처음 본 사람이면 크기가 크니까 t를 봤을 가능성이 높은데 시험지에서 작은 글자였다면 어땠을지 생각해보자.
g(t)는 대충 봐도 좀 그렇다. t가 변수인데, 안에는 t도 안 보이고 f(x)가 있는 거야 f(x)를 봤을 때부터 각오는 했겠지만 거기에 코사인 함수를 곱해서 뭔지도 모르는 구간에서 적분하고 있다. t가 왜 있을까 생각을 해보니
아 f(x) 안에 t가 섞여 있구나.. 이제 좀 헷갈리기 시작한다.
가 다음 조건을 만족시킨다. 함수 g(t)가 t=α에서 극소이고
극소를 조건으로 주는 건 익숙할 거다.
어떤 함수를 미분해서 나온 함수가 =0을 만족하는 x값에서 원래 함수가 극값을 가질 '수도' 있다는 걸 배운다.
극소 조건이면 미분을 해야 하나 싶은데, g(t) 이거 미분할 수 있나?
g(α)<0인 모든 α를
앞의 내용과 조합해서 그대로 받으면 g(α)일 때 극소인데 0보다 작다는 뜻, 그러니까 음수라는 말이다. 그런데 너무 자연스럽게 모든 α? α가 하나가 아니었구나.
작은 수부터 크기순으로 나열한 것을 α1, α2, ···, αm (m은 자연수)라 할 때,
작은 순으로 나열했다니 그렇구나하고 넘어가고 싶은데, 또 무슨 조건이 되는 건 아닌지 걱정되기도 하다. 그리고 여러 개인 건 확실해졌는데, m개라니 ? 이것도 찾으란 건가?
시그마 알파=45이다.
몇 개인지도 모르고 알파에 대해서 아무 것도 모르는데 합을 줬다. 어쨌든 단서가 되겠지만.

의 값을 구하시오. [4점]
결국 구해야하는 게 k이고 알파도 다 구해야 되겠다. 그리고 피하고 싶었는데 g(t)도 결국 계산하라는 거고, 파이 제곱은 정수로 만들려고 주는 거이니 큰 의미는 없는 것 같다.
이 문제의 EBSi 기준 정답률은 2.2%이다.
확인한 시점은 2019년 5월 9일 오후 5시 22분이고 풀서비스 데이터로 측정하니까 어쩌면 실제는 더 낮을 것이다.
악명 높은 2017학년도 수능 가형 30번의 동일한 시점 기준 EBSi 정답률은 3.0%이니.
어쨌든, 해설이든 파훼법이든 다 나온 시점이니 한마디 하자면, 시험장에서 논리적으로 엄격히 풀어내려면 수학에 천부적인 재능이 있어야할 것 같다는 생각이다.
2018학년도 수능 가형이 등급컷은 4점씩 붙어있지만 결코 그 이전의 시험들(2015, 2016, 2017)처럼 쉽다가 갑자기 난이도 몰빵 수준은 아니다. 개인적으론 상향평준화도 한몫했겠지만 까고 말해서 '잘 찍히는' 시험이어서 그렇게 된 듯하다.
그러니 30번에 투자할 여력도 상대적으로 적었을 텐데, 그 와중에 이걸 엄밀하게 풀었다면 말 다한 거다.
자 그럼, 이제 좀 다른 길로 빠져보자. 문제를 풀긴 할 건데 지금은 아니다.
이제부터 문제해결에 대한 아주 유명한 관점과 이야기를 소개하려고 한다.
Allen Newell(앨런 뉴얼)과 Herbert Simon(허버트 사이먼)은 문제해결을 문제 공간의 검색으로 보았다.
문제 공간은 Problem Space을 번역한 말인데 문제 공간은 다양한 문제 상태로 구성된 공간을 말한다.
그런데 문제라는 게 뭘까? 국어사전에는 '해답을 요구하는 물음'이라고 하는데, 내가 물어보자. 왜 해답이 필요한 걸까?
그 이유는 문제는 현재 상태와 원하는 상태의 차이에서 시작되기 때문이다.
문제는 현재 상태가 원하는 상태가 되면 끝난다. 그게 해답이다.
다시, 문제해결이 문제 공간의 검색이라는 말로 돌아가 보자. 문제해결이 문제 공간의 검색이라는 말은 문제 공간에서 내가 원하는 상태를 찾기 위해 검색하다가 그 끝에 원하는 상태를 찾는 것을 말한다.
그렇기 때문에, 우리는 문제해결 과정을 미로, 또는 미궁에서 길을 찾는 것에 비유할 수 있다.
그러니 이제 수학이라는 이름의 미궁이라는 제목을 달게 된 이유를 이해할 수 있을 것이다. 사족을 달면, 하필 저런 이름인 이유는 화이트데이: 학교라는 이름의 미궁에서 따온 거다.
문제 해결이 문제 공간의 검색이라는 관점을 받아들였다면 이제 좀 더 자세한 이야기를 해보자.
Wolfgang Köhler(볼프강 쾰러)는 유인원을 연구하러 카나리아 제도의 테네리페 섬으로 갔다. 그동안 1차 세계대전이 발발해서 6년 동안 머물게 되었는데, 그때 쾰러는 침팬지 무리를 발견하고 침팬지를 대상으로 유명한 동물의 문제 해결 연구를 했다. 침팬지 술탄(Sultan)이 그의 실험 대상이 되었다.
자, 우리 안의 침팬지와 우리 밖의 바나나를 생각해보자. 마침 우리 안에 바나나에 닿을 정도로 긴 막대가 있다. 이 상황은 술탄에게도 어려운 상황이 아니다. 현재 상태는 바나나 손이 닿지 않는 우리 밖에 있는 상태이다. 원하는 상태는 뭘까? 당연히 바나나를 가져오는 것이 아닐까? 여기서 간단히 문제를 해결할 수 있다. 막대를 집고 바나나를 밀어 가져오면 된다. 이렇게 문제 상태를 변화시켜서 원하는 문제 상태로 만든 것이다.
그런데 다른 문제가 있다. 실제로는 술탄에게 긴 막대 따위는 없었다. 바나나에 닿지 않는 두 막대만 있었을 뿐이다.
술탄은 열심히 막대를 바나나에 닿게 하려고 했다. 하지만 부질없었다. 결국 술탄은 시무룩해져서 우리 안에 가만히 앉아 있었다.
그러던 중, 갑자기 술탄이 한 막대를 다른 막대에 끼웠다!
막대와 막대가 연결되자, 바나나에 닿을 정도로 충분히 길어졌고, 술탄은 바나나를 성공적으로 가져왔다.
술탄은 성공적으로 문제해결을 수행했다. 처음의 상태는 바나나가 우리 밖에 있는 상태였지만, 최종적으로 도달한 상태는 바나나가 손 안에 있는 상태이기 때문이다. 이를 위해 술탄이 한 행동을 다시 살펴보자.
처음에 '긴 막대가 있었다면'이라고 가정한 상황을 생각해보자. 술탄이 할 수 있었던 행동은 다양했다.
바나나 따위 관심 없다는 듯 가만히 앉아있을 수도 있었고
갑자기 물구나무서기가 하고 싶어서 물구나무서기를 했을 수도 있다.
막대를 집고 바나나를 가져오는 게 아니라 우리 벽을 때렸을 수도 있고
우리 안의 나무에 매달려서 놀 수도 있었다.
바나나를 가져오려고 우리의 틈으로 손을 최대한 뻗을 수도 있고
우리를 온 몸으로 부딪혀서 나가려고 했을 수도 있다.
이렇게 언급하면 끝도 없이 많다.
어쨌든 확실히 술탄은 바나나를 먹고 싶어 했으니 위의 사례 중에 바나나와 전혀 상관없는 일은 하지 않았을 것이다.
대신 처음에는 바나나를 보고 우리 밖으로 손을 뻗어보다가 이렇게는 먹을 수 없다는 걸 깨달았을 것이다.
그러다 곧 우리 안에서 긴 막대기를 발견하고, 다시 손을 뻗었던 것처럼 막대를 뻗는다.
이번엔 바나나가 닿았다. 성공했다.
현실은 더 녹록치 않았다. 기껏 막대기를 집어서 뻗어봤는데 이것도 닿지 않는다. 옆에 또 다른 막대기로도 해봤는데 이것도 안 된다.
포기해야하는 걸까? 술탄은 시무룩하게 우리 안에 앉아 있는다.
그러다 갑자기 다시 막대로 향하고 막대를 이리저리 만져보더니, 막대끼리 연결해서 긴 막대를 만들었다.
굉장히 중요한 순간이다. 바나나를 가져오겠다는 목표대신, 그와 직접 관련 없는 행동을 했기 때문이다!
바나나 가져오기 대신 '긴 막대 만들기'라는 목표로 막대를 만지다가 결국 그 목표를 이루었다.
문제를 해결하려면 한 문제 상태를 다른 문제 상태로 바꿔야 한다. 그런데 어떻게?
그걸 가능케 하는 행동이나 도구 등을 Operator라고 한다. 번역하면 조작자라고 한다.
조작자가 있다고 문제를 해결하게 되는 건 아니지만, 조작자 없이는 문제 해결의 시도조차 할 수 없으니 문제해결의 기본이라고 할 수 있다.
위의 사례를 보면 조작자의 중요성을 다시 알 수 있다.
첫 번째 경우는 '긴 막대'라는 이미 존재했으니 '긴 막대로 밀기'라는 조작자를 적용해서 문제를 풀 수 있다.
두 번째 경우는 조금 다르다. 기존의 조작자를 이용해서 적용했으나 문제 해결에 실패했다. 하지만 침팬지는 생각보다 영리해서 원래의 목표를 이루기 위해서 '긴 막대 밀기'라는 조작자가 있어야 함을 알았다. 현재 상황은 긴 막대가 없으니 조작자 적용이 불가한 상태이다.
그래서 '긴 막대 만들기'라는 목표를 세운다. 이 목표는 원래 목표를 이루기 위한 새로운 목표로 하위 목표라고 부른다.
이제 '긴 막대 만들기'라는 목표 아래 막대를 만져보고, 그러다 결국 목표를 달성한다. '막대끼리 끼우기'라는 조작자로 상태를 성공적으로 바꾼 것이다.
그렇게 술탄은 맛있는 바나나를 먹을 수 있게 되었다.
정리하면 이렇다. 문제해결은 다양한 문제 상태를 지닌 문제 공간에서 원하는 문제 상태를 찾는 과정이다.
이때 문제 상태를 바꾸는 방법은? 조작자의 적용이다.
그리고 여기 매우 중요한 문제해결의 중요한 특징이 있다. 문제해결은 반드시 어떤 목표를 향해서 이루어진다. 만약 목표가 없다면? 애초에 문제가 아니니 해결할 필요도 없다. 다음 그림을 보자.

시험지에 이렇게만 쓰여 있었다고 하자. 반응이 이렇지 않을까?
음 g(t)가 이 조건을 만족시키는군요. 잘 알겠어요. 그런데 어쩌라구요?
즉, 문제해결에서 목표가 없으면 앙꼬 없는 찐빵도 아니고, 그냥 찐빵이 없다고 할 수 있다.
또 하나 중요한 특징이 있다. 술탄이 긴 막대기 만들기라는 '하위 목표'를 수행한 것처럼, 목표를 이루기 위해서 본 목표를 해결하는데서 벗어난 '다른 목표'를 하기도 한다는 특징이다.
물론 이 목표는 본래의 목표와 전혀 무관하지는 않다.
그렇지만 본래 목표가 해결되는 과정은 아니다.
이 하위 목표들은 본래 목표를 이루기 위한 조작자를 획득하기 위해서 수행하는 것이기 때문이다.
술탄이 긴 막대기를 만들었다고 해서, 바나나가 더 가까이 오지는 않은 것처럼.
하위 목표에 대해서 조금만 더 이야기해보자.
이 글을 읽는 사람 중에, 세상에 수없이 많은 것 중 하필 따분한 이 글을 읽고 있는 이유가, 인생의 최종 목표가 이 글 읽기여서인 사람이 있을까?
공부를 잘 하자라는 목표의 하위 목표로서 읽고 있는 게 아닐까?
다시, 공부를 잘 하자라는 목표를 가지고 있다면, 그게 인생의 최종 목표인 사람은 또 얼마나 있을까?
거의 대부분은 대학을 잘 가려고, 시험에 합격하려고 공부를 잘 하자라는 하위 목표를 가지고 있는 게 아닐까?
또 다시, 그럼 좋은 대학 입학이 인생의 최종 목표인 사람은 또 얼마나 있을까? 그 또한 무언가의 하위 목표일 것이다.
'많은 돈 벌기'라는 목표를 가진 어떤 학생을 생각해보자.
'왜인지' 그 학생은 돈을 벌고 있는 게 아니라, 의대에 간다고 도서관에 박혀서 공부를 하고 있다.
내가 닭이라서 이해가 안 된다. 돈을 벌려면 책보고 있는 게 아니라 나가서 뭐라도 돈 버는 일을 해야 하지 않을까? 그래야 한 푼이라도 더 벌지 않을까?
사람은 이 학생을 이해할 수 있다. 지금 한 푼 더 못 벌어도, 나중에 더 큰 돈을 벌 수 있음을 알기에 목표에 가까워지는 걸 유예하고 다른 일을 하고 있음을 안다.
여기서 순행 추리와 역행 추리에 대해서 알아보고 가자.
순행 추리는 문제의 단서에부터 시작해서 원하는 목표를 찾는 추리 과정이다.
그리고 역행 추리는 원하는 목표에서 시작해서 하위 목표를 만들면서 문제의 단서를 이용하는 추리 과정이다.
문제 풀이에서는 순행 추리가 잘 이용될까? 역행 추리가 잘 이용될까?
이와 관련된 연구가 있었다. 초보자와 전문가의 문제 풀이 방략에 대한 연구이다.
이 연구는 물리학 문제를 푸는 초보자와 전문가의 풀이 방법 차이를 보여주었다.
연구 결과, 초보자는 역행 추리를 이용하고 전문가는 순행 추리를 이용했다.
그러나 관련된 또 다른 연구에서는, 초보자와 전문가 모두 순행 추리를 이용한다는 결과가 나왔다.
다만 초보자는 순행 추리에 실패하는 경향이 있었고 전문가는 성공적으로 수행하는 경향이 있었다.
결국 두 연구 결과를 종합하면 초보자는 역행 추리를 이용하거나 실패할 가능성이 높은 순행 추리를 하고
전문가는 성공할 가능성이 높은 순행 추리를 한다는 결론이다.
그럼 구체적으로 순행 추리와 역행 추리가 어떤 과정으로 문제를 풀어나는지 확인해볼 필요가 있지 않을까?
그 물리학 문제를 한번 살펴보고 가자. 나는 문과인데? 나는 물알못 패션이과인데?
그러지 말고 물리 식은 잘 몰라도 어떻게 풀어나가는지 확인해보자.

문제는 이렇다. 그림처럼 빗면에 정지한 물체가 있는 상황이다. 내려갈 길이는 L이고 빗면의 각도는 θ이고 마찰 계수는 μ이다. 구하는 값은 저 구슬이 내려올 때 속도 v이다.
마찰 계수가 뭔지 몰라도 괜찮다. 물리학 강의를 하는 게 아니니 어떻게 쓰이는지만 그냥 보면 된다. 앞으로 나올 용어들도 모르면 그냥 그렇구나하고 넘어가면 된다.
역행 추리로 문제를 해결하는 과정은 이렇다.
내가 구해야하는 값이 속도 v이니 v에 대한 식을 떠올린다.
v = v0 + at (v0는 초기 속도, a는 가속도, t는 시간)
v^2 - v0^2 = 2as (a는 가속도, s는 변위)
첫 번째 식은 a도, t도 모르니 좀 그렇고,
두 번째 식은 a를 모르는 건 같지만, s는 L(내려갈 길이)임을 알고 있으니 두번째 식으로 계산하기로 마음먹는다.
초기 속도는 정지한 상태이므로 0이기 때문에 두 번째 식은 이제 이렇게 된다.
v^2 = 2aL, 다시 정리하면 v = √2aL
이제 a만 구하면 된다.
이제 v를 구하는 원래 목표대신, a를 구한다는 하위 목표 아래에서 문제를 풀기로 한다.
∑F = ma를 이용해서 a를 구하자.
여기서 힘은 중력과 빗면을 내려갈 때 받는 마찰력만 있다고 하자.
빗면에서 중력이 운동 방향으로 작용하는 힘은 F = mgsinθ
마찰력이 작용하는 힘은 F = μN (N은 수직항력), N = mgcosθ이므로
∑F = ma = mgsinθ - μmgcosθ 이고
따라서 a = gsinθ - μgcosθ
a를 구했다. 왜 구했더라? 아 a를 알면 v를 구할 수 있지.
v = √2(gsinθ - μgcosθ)L
이렇게 문제를 해결했다.
순행 추리로 문제를 해결하는 과정은 이렇다.
빗면에서 중력이 작용하는 상황이니 F = mgsinθ 이다.
마찰력이 작용하는 힘은 F = μN (N은 수직항력), N = mgcosθ이므로 F = μmgcosθ
이때 ∑F = ma 이므로 ∑F = ma = mgsinθ - μmgcosθ 이다.
따라서 a = gsinθ - μgcosθ
v에 대한 식은
v^2 - v0^2 = 2as 이므로
이 식을 정리하면
v = √2(gsinθ - μgcosθ)L
물리의 식에 익숙하지 않은 사람이면 불편했겠지만, 밑줄 친 부분 위주라도 잘 보기 바란다.
역행 추리는 내가 구하려고 하는 값(최종 목표) v에서 생각을 시작해서 하위 목표를 설정하며 내려가는 방식으로 문제를 풀고 있다.
반면 순행 추리는 내가 알고 있는 값(중력과 마찰력)에서 생각을 시작해서 끌어낼 수 있는 걸 정리하고 이것들을 조합해서 구하려는 값(최종 목표)를 구하는 방식으로 문제를 풀고 있다.
어떤 풀이가 더 그럴듯해 보이는지는 상황에 따라 달라진다.
역행 추리가 적합한 영역이 있고 순행 추리가 적합한 영역이 있기 때문이다. 위의 연구를 참고하면 수학이나 물리 문제의 경우 순행 추리가 선호되는 영역이다.
특히 전문가일수록 순행 추리로 푸는 것을 선호한다.
그런데 순행 추리의 흐름을 보면서 데자뷰가 느껴지지 않는지 궁금하다.
혹시.. 해설지?
몰라서 해설을 펴봤더니, 너무 당연하게 잘 풀고 있는 해설을 본 경험이 있을 것이다.
그런 해설지를 보고, 아 맞다! 이거 아는데 또는 아니 사람이 어떻게 이렇게 생각해? 이런 적 있지 않나?
그런 경험이 있다면 지금부터 하는 말을 쉽게 납득할 수 있다.
왜 전문가는 순행 추리를 선호할까?
그건 전문가는 문제를 보자마자 어떻게 풀어야 할지가 떠오르기 때문이다.
설령 완벽하지는 않더라도 문제의 본질을 간파한다.
무엇을 해야 할지 잘 알고 있고 따라서 올바르게 순행 추리를 할 수 있게 된다.
그런데 그것만으론 순행 추리를 선호하는 이유를 설명할 수 없다.
역행 추리를 선호하지 않을만한 이유가 있어야 한다.
그 전에 다시 역행 추리 풀이 중 마지막 밑줄을 읽고 오면 좋겠다.
역행 추리는 어렵다. 역행 추리를 하려면 여러 가지 목표들을 계속 주의에 유지시켜야 하기 때문이다.
목표에 초점을 맞추고 풀어가다가 어느 순간 하위 목표를 정하고, 하위 목표를 풀어가다 또 하위 목표를 세워야할 수도 있다.
또는 하위 목표가 길어지다가 뭘 하고 있었는지 잊는 상황이 발생할 수가 있다.
사실, 잊지 않아도 문제다. 사람이 실시간으로 주의에 유지시킬 수 있는 기억은 그렇게 크지 않다. 여러 목표들이 주의에 유지되는 만큼 남은 기억의 공간도 적어진다.
대신 그만큼 확실한 장점도 있다. 최종 목표로부터 그때 그때 필요한 것들을 구하면서 문제를 풀기 때문에 해결 방법이 한 번에 그려지지 않아도 문제에 접근할 수 있기 때문이다.
그런 이유로 컴퓨터 프로그래밍을 할 때는 초보자와 전문가 모두 역행식(=하향식, top-down)으로 한다. 컴퓨터 프로그래밍의 경우 처음에 주어진 정보가 적어서 순행식(=상향식, bottom-up) 접근 자체가 어렵기 때문이다.
하지만 수학 문제나 물리 문제를 풀 때는 사정이 다르다. 수학 문제나 물리 문제는 제시된 단서들이 충분하다.
그래서 전문가는 문제의 핵심을 곧바로 간파할 수 있다. 지금까지의 많은 경험 덕분이다.
뭘 해야 할지 알고 있기 때문에 그걸 활용해서 적합한 순행 추리로 풀이를 진행시킨다.
굳이 머리에 부담을 주는 역행 추리를 이용하지 않아도 된다.
그래서 전문가가 순행 추리로 문제를 푸는 것이다.
한편 초보자를 생각해보자. 안타깝게도 초보자는 문제의 핵심을 제대로 간파하지 못한다.
문제를 보면 문제의 구조가 보이는 게 아니라 문제의 표면이 보인다.
그래서 전문가는 겉보기에 다른 문제라도 문제의 구조를 간파하기 때문에 같은 문제로 인식하지만, 초보자는 근본적으로 같은 원리를 이용하는 겉보기 다른 문제를 보여주면 전혀 다른 문제로 인식한다.
이런 이유로 초보자는 부담을 감수하고라도 역행 추리로 문제에 접근한다.
또는 문제의 본질을 잘 모르는 상태에서 올바르지 않은 순행 추리를 한다.
정리하면
순행 추리는 주어진 것에서 시작해서 최종 목표를 향하는 방법이기 때문에 하위 목표를 (작업) 기억에 담아두지 않기 때문에 기억의 측면에서 다소 여유를 가질 수 있다는 장점이 있다.
그러나 최종 목표를 향해 다가가는 과정이기 때문에 그 사이의 길에 감각이 없다면 잘못된 길로 샐 수도 있다는 단점이 있다.
역행 추리는 최종 목표에서 시작해서 부족한 부분들을 채워가는 과정이기 때문에 풀이의 방향이 잘 잡혀있다는 장점이 있다.
그러나 하위 목표가 늘어날수록 기억에 부담을 준다는 문제와 그렇게 기억을 잃어버리면 방향에 혼란이 올 수 있다는 단점이 있다.
그렇지만 이 둘은 물과 기름처럼 섞이지 못하는 관계가 아니다.
어느 수준까지는 순행 추리를 이용하다 역행 추리로 넘어갈 수도 있고, 그 반대일 수도 있다.
그러니 상황에 따라 더 적합한 방법을 이용하면 더 좋고 합리적인 풀이를 할 수도 있을 것이다.
수학적 사고의 기본은 구체화와 일반화이다. 구체화로 시작해서 패턴을 찾아 일반화로 끝난다는 뜻이다.
문제 풀이를 진행하면서 수학적 사고에 대한 설명이 이어지겠지만, 그 기본이 구체화와 일반화에 있다는 걸 잊지 않았으면 좋겠다.
그러면 이제 다시 18학년도 30번으로 돌아와서,
지금까지 다룬 문제해결 이론과 '수학적 사고'를 바탕으로 문제에 접근해보자.

문제를 기초적으로 문제를 읽어가는 과정은 위에서 했으니 생략한다.
다만 하나 짚고 넘어갈 부분이 있다.
f(x)를 정의할 때 t때문에 당황했던 사람도 있을 것이다. 아마 t가 또 다른 문자이기 때문일 것이다.
그런데 만약 조건이 이랬다면 어땠을까?

↓

S가 아니라 숫자 5다.
숫자로 주어졌으면 어렵게 느끼지 않았을 거다.
그런데 f(x)의 입장에서만 보면 t나 5나 다를 건 없다. f(x)에서 변할 수 있는 변수는 x 하나뿐이다.
x 이외에 모든 것은 상수다. 그게 5이든 t이든.
수학 잘 못하는 경우를 보면, 숫자를 문자로 추상화해서 표현하는 것에 불편함을 느끼는 경우도 있는데 전혀 어렵게 받을 필요 없다. 변수와 상수를 명확히 해두면 상수인 문자는 숫자처럼 생각하면 그만이다.
문제를 푸는 과정을 진입 → 공격 → 검토 단계로 보면 시작은 진입 단계이다.
문제에 성공적으로 진입하려면 뭘 하는 게 좋을까?
먼저 목표를 확인하자. 목표가 없으면 문제가 성립하지 않을 정도로, 목표는 기본이다.

구하라는 값을 보니 k를 구해야하고, g(t) 함수의 값도 구해야할 것 같다.
다음 또 뭘 해야 문제와 친해질 수 있을까?
문제에서 알 수 있는 조건, 단서를 적어두면 좋을 것 같다.
t는 실수
f(x)의 정의
k는 어떤 홀수
g(t)의 정의
g(t)는 t=α에서 극소이고 0보다 작다
α는 m개 있고 그 합이 45
보이는 건 다 체크했다.
본격적으로 문제에 들어가기 전에 문제해결에 대해서 환기하고 시작하자.
문제해결은 문제 공간의 검색, 즉 문제 공간에서 원하는 문제 상태를 찾는 과정이라고 했다.
그리고 문제 상태를 바꾸기 위해서는 조작자를 적용해야 한다고 했다.
여기서 우리가 사용할 수 있는 조작자는? 당연히 지금까지 익힌 수학 지식들이다.
명백히 주어진 상황만으로 답을 구할 수는 없다.
그러니 상태를 변화시켜야 한다는 점은 모두가 인지하고 있는 사실일 듯하다.
그런데 어떤 조작자를 적용해서 상황을 바꾸는 게 좋을까?
아마 수학 고수들은 우선 뭘 하는 게 좋을지 떠오를 것 같다.
아까의 설명을 적용시키면 고수들은 지금까지의 누적된 경험에 따라 이미 알고 있는 것일 테다.
여기선 기준을 낮춰서 역행식으로 이유를 따지면서 풀어보겠다.
문제에서 구하는 값이 k와 g(α)들의 값임은 이미 확인했다.
k가 어디서 나오나 보니 g(t)를 정의할 때 나온다. 그러니 g(t)를 가지고 뭔가 해야 함이 확실하다.
α는 있는 박스 안 조건에 있다. 박스 안 조건은 g(t)에 대한 조건이다.
k에서도 α에서도 g(t)를 먼저 파악할 필요가 있음을 확인했다.
g(t)를 살펴보니 그 안에 f(x)가 있다. f(x)가 뭔지 알아야 g(t)도 알 수 있다.
다행히 f(x)도 조건에 있으니 그대로 해석해보자.
f(x)와 cos(πx)의 곱을 구하기는 쉽다.
주어진 f(x)의 정의에 cos(πx)를 곱하면 끝이다.
문제는 적분 구간(k ~ k+8) 내에서 f(x)가 어떻게 생겼는지 모른다는 점에서 시작한다.

(설명하면
y=f(x)cos(πx) 라는 함수를 x=k인 지점부터 x=k+8인 지점까지 '적분'한다는 뜻이다)
우리는 x = k ~ k+8에서 f(x)가 어떻게 생겼는지 알고 싶다.
하지만 알지 못한다. 그게 문제 상황이다.
이 문제를 다시 하위 목표로 두고 먼저 이 목표 해결에 초점을 두도록 하자.
여기서 우리가 k를 변화시킬 수는 없다. 적용할 조작자가 없다는 뜻이다.
마치 앞에 모니터가 켜져 있는데 키보드랑 마우스가 없어서 멀뚱멀뚱 보고 있을 수 밖에 없는 상황이다.
문제에서 k는 홀수야! 라고 했는데,
출제자님 k는 x = k ~ k+8를 │x - t│>1을 만족시키는 어떤 값으로 합시다하고 협상할 수는 없다.
4딸라!는 그 상황에서 가능한 조작자였지만 지금 우리에게 가능한 조작자는 아니다.
그렇다면 다른 가능한 조작자는 뭘까?
또 다른 골칫거리, f(x)와│x - t│≤1와 │x - t│>1를 보자.
x에 어떤 값을 대입해서 f(어떤 값)을 얻을 수 있음을 알고 있다.
적용 가능한 조작자를 발견했다. x에 어떤 값을 대입해보기.
그리고 절댓값을 없앨 수 있는 방법도 알고 있다.
그렇다면 │x - t│에도 적용 가능한 조작자가 있다는 뜻이다.
그러면 조작자를 적용해보자.

│x - t│에 넣을 x값 중 가장 만만한 건 x = t이다.
넣으면 t가 사리지고 0이 되니까.
x = t 이면│x - t│= 0 이고 따라서 f(t) = 1-0 = 1
함수가 바뀌는 지점은 특이한 경우이니 어떤지 확인해보는 게 좋다.
│x - t│ = 1 을 경계로 함수가 바뀐다. 이를 만족하는 x 값을 찾아서 넣어보자.
x = t+1 이면 │x - t│= 1 이고 f(t+1) = 1-1 = 0
오, 똑같이 0이 나온다.
크기를 더 키워서,
x = t+2 이면 │x - t│= 2 이고 f(t+2) = 0
조금 줄여서,
x = t+1.5 이면 │x - t│= 1.5 이고 f(t+1.5) = 0
아, t+1보다 조금이라도 크면 무조건 0이구나!
지금 구체화와 일반화를 하고 있다는 사실을 스스로 알아챘으면 좋았을 것 같다.
절댓값이니 음수인 경우도 찾아봐야 한다.
x = t-1 이면 │x - t│= 1 이고 f(t-1) = 1-1 = 0
아까 x = t+1 경우와 동일하다.
그러면 비슷하게
x = t-2 이면 │x - t│= 2 이고 f(t-2) = 0
이번엔 t-1보다 조금이라도 작으면 무조건 0이라는 사실을 알았다.
경계를 넘어서면 어떻게 되는지는 이제 알았다.
그럼 │x - t│< 1에서는 어떤 값이 나올지도 계산해보자.
x = t+0.5 이면 │x - t│= 0.5 이고 f(t+0.5) = 1-0.5 = 0.5
x = t+0.6 이면 │x - t│= 0.6 이고 f(t+0.6) = 1-0.6 = 0.4
계산을 계속 하다 보니 이제 패턴이 눈에 보인다.
x = t+0.7 이면 f는 0.3
x = t-0.3 이면 f는 0.7
이렇게 구해놓은 값이 이제 꽤 된다.
이 값들을 한 번에, 잘 보이게 표시할 수 있는 방법이 없을까?
그게 그래프다.

값들을 찍어보니, 그래프를 완성할 수 있을 것 같다.
어차피 │x - t│> 1인 바깥은 다 0이고
│x - t│≤ 1인 안쪽은 계산해보면서 y = 1-x 또는 y = 1+x와 같은 형태임을 알았다.
이렇게 f(x)를 파악했다.

어쩌다보니 대입만으로 f(x)를 찾았는데
다른 조작자로도 해보자.
│x - t│≤1 은
-1 ≤ x - t ≤ 1 과 같고
t-1 ≤ x ≤ t+1 과 같다.
│x - t│>1 은 x - t > 1, x - t < -1 과 같다. 다시 x > t+1, x < t-1과 같다.
즉
f(x) = {
1 - │x - t│ (t-1 ≤ x ≤ t+1)
0 (x > t+1, x < t-1)
절댓값을 마저 없애기 위해 구간을 나눠주면
f(x) = {
t - 1 + x (t - 1 ≤ x ≤ 0)
t + 1 - x (0 ≤ x ≤ t+1)
0 (x > t+1, x < t-1)
이제 먼저 한 방법처럼 대입해서 값을 구하고, 여러 값들의 시각적 표시를 위해 그래프를 그리거나
이미 배운 대로 그래프를 그리면 f(x)를 파악할 수 있다.
그런데 왜 f(x)를 찾았더라?
이게 역행 추리의 문제다.
깔끔하게 설명하기 위해 역행 추리로 문제를 풀었다. 하지만 역행 추리의 단점도 분명히 봐야 한다.
순행 추리로 풀었다면 처음부터 f(x) 그래프를 그리고 k와의 관계를 찾았을 것이다.
아무튼, 우리는 x = k ~ k+8에서 f(x)가 어떻게 생겼는지 알고 싶어서
조작자를 적용해서 f(x)를 파악한 것이다.

위 그림에서 k ~ k+8이 어디일까?
여전히 모른다. k나 t에 따라서 변한다는 것만 알았다.
암초를 만났다!
암초를 만났을 때
멍- 해지거나, 여기까지 과정을 그냥 다시 되짚어보는 건 그다지 도움이 안 된다.
그보다는 어떤 부분에서 막혔는지 구체적으로 적어보고, 초심으로 돌아가 조건들을 다시 살펴보는 편이 좋다.
여기서 암초 상황을 적어보면
'k도 모르고, t도 몰라서 f(x)cos(πx)도 못 구하고 적분도 못한다.'
조건을 다시 보면 g(t)니까 t에 대한 함수이고 t가 변수
그리고 어떤 홀수 k는 구하는 값에 있으니 아직 몰라서 그렇지 정해진 값이다.
아, 이제보니까 변하는 값은 t이고 k는 정해진 값인데 t를 고정시키고 k를 움직이고 있었구나?
t는 변수라서 어차피 다양한 값을 가진다.
그러니 k ~ k+8 미리 찍어놓고 t의 위치를 바꾸면서 보면,
어차피 정해지지 않을 것을 찾아다녔음을 알았게 된다.
이제 알 필요가 없어진 것으로 암초를 해결했다.
문제란 본래 내가 목표 상황에 도달해도 해결되지만, 목표 상황이 사라져도 해결되기 때문이다.
당장 f(x)로 할 게 사라졌으니 g(t)의 또 다른 축인 cos(πx)를 구하자.
순행 추리로 풀어갔으면 바로 이렇게 했을 거다.
f(x) 그렸으니 이번엔 cos(πx) 그려볼까!
코사인 그래프를 자주 그려봤으면 cos(πx)를 그리는 건 너무 쉽다.
x = 0일 때 cos(0) = 1
x = 1일 때 cos(π) = -1
x = 2일 때 cos(2π) = 1
그 사이는 가운데가 0임을 주의해서 이쁘게 곡선형으로 그려주고
이제 2 단위로 똑같이 그려주기만 하면 된다.
cos(πx)의 그래프도 그렸다.

그래프에 대해서 '수많은 값을 시각적으로 표시'라는 관점을 유지한다면
두 그래프를 겹쳐 그려서 곱의 값이 어떻게 되는지 관찰하는 건 자연스러운 과정이다.
그래서 f(x) 그리고 cos(πx)를 그리려고 했는데,
또 암초를 만났다.
이번 문제는 이렇다.
t가 변하는 값이라서 cos(πt)의 값을 알 수 없다. 그래서 그래프도 같이 못 그린다.

지금 상황은 조작자를 몰라서 상태를 못 바꾸는 상황은 아니다.
조작자를 '어디에' 적용해야할 지가 문제다.
암초를 잘 읽어보니, t가 변하는 값이라서 모른다고 했다.
아까 k는 정해진 값이라고 하지 않았나?
어차피 그려야할 부분은 x = k ~ k+8 구간이다.
그래서 cos(πk)를 생각해보기로 했다. 그런데 k라도 상황이 크게 다르지 않다고 생각하는 순간,
k가 홀수라는 사실과 cos(πx) 그래프에서 보이는 숫자의 규칙성이 떠오른다.
글만 봤으면 공감하기 어려울 수 있지만 직접 그려보면 바로 이해할 것이다.
k가 그래서 홀수였다. 미운 조건인줄 알았는데 이렇게 고마울 수가!
k가 어떤 값이어도 x = k ~ k+8에서 cos(πx)의 개형은 항상 같다는 사실을 알아냈다!

상당히 진도가 나간 것 같다.
이를 바탕으로 f(x)와 cos(πx)를 나란히 그려보자. 물론 곱하기 위해서.
t가 이정도 값이면 f(x)와 cos(πx)는 이렇게 그려지고

t가 이정도 값이면 f(x)와 cos(πx)는 이렇게 그려진다.

이제 박스 안 조건,
함수 g(t)가 t=α에서 극소이고 g(α)<0인 모든 α를 작은 수부터 크기순으로 나열한 것을 α1, α2, ···, αm (m은 자연수)라 할 때,

이다.
를 해석할 수 있다. 어떻게?
g(t)는 f(x)cos(πx)를 x = k ~ k+8에서 적분한 값이고
위의 그래프를 통해서 f(x)cos(πx)의 값을 대략 추정할 수 있다.
정확히 찍기는 어렵지만, 양수인지 음수인지와 가운데에서 곱의 크기가 가장 크다는 정도는 알 수 있다.
그 방식으로 대략 x = k ~ k+8에서 f(x)cos(πx) 그래프를 그리면
적분 값을 넓이로 해석해서(x축 위쪽은 양의 넓이, 아래쪽은 음의 넓이) g(t)를 대략 추정해서 해석하는 것이다.
참고로, 이때 극소를 보고 미분하여 =0인 값을 찾고 부호 변화를 관찰하여 극소를 찾는 조작자를 적용할 생각을 할 수도 있었다. 그러나 g(t)는 t에 대한 함수이므로 t에 대해 미분해야 하는데, 안타깝게도 미분을 하려면 적분을 직접 계산하고 미분해야하기 때문에 우선은 보류하는 편이 좋다고 판단했다.

다음과 같은 상황에서 g(t)는 0이다. 적분 구간 내에서 f(x)cos(πx)가 0이기 때문이다.

그러다가 이 순간을 경계로 (이때까지는 0이다)

이렇게 되면 드디어 f(x)cos(πx)가 구간 내에서 음수로 들어가고 적분 값도 음수가 된다.

이 추세를 관찰하면 극소를 관찰할 수 있다.
..고 생각했다. 이 상황과

이 상황을 보니,

대략적인 추정에 한계가 왔음이 느껴진다. 그래도 보잘것없는 그림에 의존해서 조금 더 찍어보자.
첫 번째 그림은 그 다음 순간에 cos(πx)의 음의 부분과 곱해지는 영역을 보면 앞으로 더욱 강한 음의 값을 가질 것 같다.
cos(πx)의 양의 부분과 곱해지는 영역을 보면 앞으로 커지긴 하는데 음의 영역에 못 미칠 것 같다. 즉, 다음 값은 더 작을 것 같다는 말이다.
따라서 첫 번째 상황은 극소가 될 조건을 못 맞춘 것 같다.
두 번째 그림은 그 다음 순간에 cos(πx)의 음의 부분과 곱해지는 영역을 보면 고점을 지나서 음의 값이 약해지는 반면 cos(πx)의 양의 부분과 곱해지는 영역을 보면 앞으로 더 커지는 것 같다. 즉, 다음 값은 더 커질 것 같다는 말이다.
따라서 두 번째 상황은 극소가 될 조건을 갖춘 것 같다.
첫 번째 그림 ~ 두 번째 그림의 추정은 이렇게 넘겼다. 첫 번째가 극소점이라면 어차피 같은 추정을 공유하는 두 번째까지 계속 증가할 것이고, 첫 번째가 극소점이 아니라면 두 번째 그림으로 가는 추정 중에서 가장 음의 값이 센 것이 바로 두 번째 그림이기 때문에 그렇게 잡은 것이다.
그런 식으로 f(x)를 옆으로 살살 밀면서 보면(사실 가장 큰 점끼리 겹치는 곳에서 최대, 최소가 나오지 않을까싶은 감이다)
이 상황에선 느낌상 제일 큰 값을 가질 것 같고,

이 상황에선 제일 작은 값을 가질 것 같다.

극소점이라고 하면 그 근방에서 가장 작은 값이니
혹시 이런 지점(k, k+2, k+4, k+6, k+8)들이 전부 극소값이 아닐까? 라는 의심이 든다.
가설을 만들었다.
구체화를 반복하다가 섣불리 일반화할 수는 없는 상태에서 가설을 세운 것이다.
가설을 그냥 참이라고 믿을 수는 없으니, 검증을 해보는 것이 옳은 순서다.
하지만 이 상황에선 검증을 하려면 식을 세워서 계산해보는 방법 밖에 없다.
이렇게 관찰하면서 구체화해봤으면 알겠지만, 경우를 상당히 많이 나눠야하고 그 경우에 대해서 일일이 다 적분을 해줘야 한다. 그렇게하기엔 계산량이 너무 많다.
그래서 우선 가설을 따라서 조건에 적용해보기로 한다.
가설을 따라 α들을 순서대로 나열하면 k, k+2, k+4, k+6, k+8이다.

에 따라 전부 더하면, 5k + 20 = 45
따라서 k = 5
공교롭게도, 어떤 홀수라는 조건에 잘 들어맞는다.
그리고 이를 적용하면
α값은 순서대로 5, 7, 9 ,11 ,13이다.

구하는 값에서 k =5 임은 밝혀졌다.
g(α)는 적분 값이다.
관찰하면서 α=5와 α=13에서 값의 분포가 같음을 보았으므로 적분 값도 같음을 알 수 있고
마찬가지로 α=7, 9, 11도 서로 적분 값이 같음을 알 수 있다.
그러니 각 경우에서 하나씩 계산하면 다른 값들을 계산하지 않아도 된다.
g(5)에서 다음 그래프를 보면 x = 5 ~ 6인 구간을 제외하고는 전부 0이므로
x = 5 ~ 6 구간에서만 적분하면 된다.
계산은 치환적분법, 부분적분법을 공부했으면 어렵지 않게 할 수 있다.
계산은 생략하고 g(5) = -2/π^2
g(7)도 같은 방식으로 계산하면
g(7) = -4/π^2
따라서

= 5 - (-2-4-4-4-2) = 21
최종적으로 가설 위에서 21이라는 값을 구했다.
틀릴 수도 있는데, 다행히 정답이 맞다.
그러니 이렇게 풀면 수학적으로 제대로 푼 것은 아니다.
가설이 참임을 검증하지 않았기 때문이다.
물론 가설을 검증하려면 계산을 해봐야한다.
이 글은 18학년도 수능 가형 30번에 대한 엄밀한 해설이 아니므로 생략한다.
여기까지 풀이를 따라왔다면 경우를 나눠서 g(t)를 직접 계산하는 것 뿐이다.
본래 엄밀한 해설로 EBSi의 해설을 첨부하려고 했으나, 극대 극소를 추정을 넘겨짚기는 마찬가지라 첨부하지 않는다.
나름 짧지는 않았지만 하지 못한 이야기도 많다.
그렇지만 많이 넣어도 다 받아들일 수 없기 때문에, 그리고 흐름에도 부적합하기 때문에 이정도로 만족한다.
대신 지금까지 이야기를 정리하면서 수학 공부에 어떻게 실전적으로 적용할 지를 이야기하면서 글을 마무리한다.
처음 다룬 개념은 문제 해결에 대한 뉴얼과 사이먼의 관점이다.
문제해결은 문제 공간에서 원하는 문제 상태를 검색하는 것이다.
조작자(Operator)는 문제 상태를 변화시킬 수 있는 행위나 도구이다.
함수를 그래프로 표현하는 것도 조작자의 일종이다. 한 문제 상태를 다른 문제 상태로 바꾸기 때문이다.
조작자를 의식하면 문제를 풀 때 조작자를 적용함으로써 바뀌는 문제 상태를 모니터링하게 된다.
수많은 조작자 중에 그것을 적용한 이유가 그것으로 원하는 문제 상태에 더 가까이갈 수 있다는 판단 때문이니 어쩌면 당연한 결과다.
조작자 개념은 수학 개념을 공부할 때도 도움이 된다. 예를 들어 조작자 개념을 의식하면 y = x^n을 미분하면 y`=nx^n-1이라고만 공부할 수가 없게 된다. 미분은 이 상태를 어떤 상태로 바꾸었는가? 라는 질문이 자연스럽게 이어지기 때문이다. 그런 질문은 자연스럽게 미분을 배우는 이유를 탐구하게 만든다.
결국 보다 깊게 미분에 대해 이해할 수 있게 된다.
수학 문제가 어려운 이유는 여러 가지가 있지만 조작자가 많은 것도 그 중 하나다. 어떤 상황에서 어떤 조작자를 적용해야할 지 잘 모르기 때문이다.
따라서 평소에 수학 문제 상태의 조작자 즉, 수학의 공식, 법칙, 성질 등이 '어떤' 상태에서 '어떤' 상태로 변화시키는지를 정리해두는 게 좋다.
수학 선생님들이 이등변삼각형에서 수선의 발, 원의 접선에서 직각, 원에서 반지름 표시 등을 반사적으로 하도록 가르치는 것도 다 같은 이유일 것이다.
보조선이라는 조작자를 적용하면 얻어지는 문제 상태의 변화ㅡ중요한 단서의 노출ㅡ를 얻을 수 있도록 말이다.
두 번째로 다룬 개념은 순행 추리와 역행 추리이다.
순행 추리는 단서에서 목표로 올라가는 방식이고
역행 추리는 목표에서 단서로 내려가는 방식이다.
수학 문제 풀이에선 순행 추리가 선호되지만 상황에 따라 적합한 방식이 있으므로 적재적소하게 쓰면 된다.
순행 추리, 역행 추리를 풀이에 적용하는 것에 대해선 크게 할 말이 없다.
다만 공부하는 과정에서 생길 수 있는 오해를 한번 짚고 넘어가려고 한다.
순행 추리로 문제를 풀어 놓으면 전형적인 해설지형 풀이가 된다. 단서를 해석하고 단서를 해석하니 답이다.
이게 두 가지 문제를 일으킬 수 있다.
하나는 대충은 알고 있었을 경우에 '아 맞다 그렇지. 아는 건데!'라고 하면서 대수롭지 않게 넘어가게 만들 수 있다는 문제이다. 못 풀어서 해설을 보고 있으면 좀 더 겸손해질 필요가 있다.
해설지 풀이가 매끄러운 이유는 처음부터 문제 구조를 파악한 상태에서 단서들을 거기에 맞추며 전개하기 때문이다.
그리고 막혀서 해설지를 보고 있는 우리는 알기야 알았겠지만, 그런 구조를 파악할 수 있는 힘이 부족했기 때문에 실패한 것이다. 생각보다 작은 차이가 아닐 수 있다는 말이다.
다른 하나는 너무 모를 때이다. '아니 이걸 어떻게 사람이 생각하냐고!!' 이렇게 되면 수학과 멀어질 뿐이다. 어려운 문제도 사실 쉬운 문제라고 하려는 게 아니다. 다만 사람이 어떻게 생각하느냐와 같은 낭비적인 생각보다, 아직 이 정도 문제의 구조를 파악할 충분한 공부와 경험이 부족하다고 느끼는 게 좋다고 생각한다.
이왕 이렇게 된 거 그렇게 풀어가는 논리를 지금 기회에 배워도 좋고.
역행 추리로 문제를 풀어 놓으면 수알못도 똑똑해진 느낌을 받을 수 있다.
아니 실은 똑똑해진 것도 아니고, 실제로 그렇게 따라 풀지도 못하는데.
풀이를 보면 감동할 수는 있지만 그걸 따라하다간 실전에서 크게 얻어맞는다.
역행 추리는 단서가 적어도(실제로 적든, 파악을 못해서 적게 느끼든) 문제에 접근할 수 있는 대신 기억 용량에 부담을 준다. 여유롭게 풀어나갈 때는 괜찮다. 기억이 살짝 안 나도 잠깐 생각해보거나 다시 돌아가서 보면 되니까.
문제는 긴장할 때, 시간이 촉박할 때다.
결국 실력보다 못 봤다고 생각하게 된다.
초보 시절 공부를 시작할 때는 차근차근 이해시켜줄 수 있고 명확한 근거가 있는 역행 추리가 좋을 수 있다.
하지만 언제까지고 거기에 머물러 있을 수는 없다. 그렇게 공부하면서 문제 보는 눈을 기르고 많은 경험을 쌓아둬야 한다. 그래서 나중에는 굳이 역행 추리를 하지 않아도 척척 문제를 풀 수 있어야 한다.
그렇게 하지 않는다면, 현장에서 인생의 쓴 맛을 느낄 수도 있을 것이다.
물론 절대는 없지만.
세 번째로 다룬 개념은 수학적 사고이다.
수학적 사고를 짧고 굵게 표현하면 구체화와 일반화의 반복이다.
구체화는 실제로 해보는 과정이다.
추상적인 설명이 있으면 구체적인 대상을 놓고 직접 적용해보거나, 구체적인 예들을 만들면서 관찰한다.
일반화는 구체화의 결과에서 공통적인 패턴을 찾아내는 과정이다. 또는 일반적인 기호를 도입해서 대상을 표현하는 과정이다.
수학에서 가설을 세우는 것도 중요한데, 구체화나 일반화를 하다보면 자연스럽게 만들어지는 게 가설이다.
가설은 논리에 맞는 것 같지만 사실인지 검증되지 않은 문장이다.
그래서 가설을 입증하는 과정이 문제 풀이의 중요한 요소가 된다.
문제를 풀다가 더 막힌 상황에서 암초를 만났다! 라고 했다.
'암초'라는 개념은 잘 쓰면 정말 유용하다.
생각이 멈추고, 괜히 지금까지 풀어온 게 틀렸나 따라 읽어보는 그 순간이 암초를 만난 순간이다.
암초를 만나면 암초를 만난 상황을 구체적으로 적어야 한다. 그래야 뭔가 대책이 생긴다. 그 다음, 초심으로 돌아가서 알고 있는 것과 구해야하는 것을 확인한다.
그렇게 해도 안 되면 문제를 다른 관점에서 바라봐야 한다. 그렇게 관점을 다르게, 표상을 다르게 하면 볼 수 없었던 것이 보이기도 하기 때문이다.
문제 표상의 중요성을 보여주는 고전적인 문제를 하나 가져왔다.
흰색과 검은색이 교차해서 놓인 체스판을 생각해보자. 여기서 반대편에 있는 두 모서리를 잘라내었다. 이때 블록 두개를 덮을 수 있는 도미노가 31개 있다고 하다. 이때 도미노로 체스판 전체를 덮는 게 가능할까?
■□■□■□■
■□■□■□■□
□■□■□■□■
■□■□■□■□
□■□■□■□■
■□■□■□■□
□■□■□■□■
■□■□■□■
한번 고민해보기 바란다. 해결 방법은 적지 않겠다. 궁금하면 체스판 도미노로 검색해보면 된다.
그래도 암초를 못 벗어난다면 다른 문제를 풀거나 휴식을 취하는 등 그 문제에서 벗어나자.
휴식을 취할 때 무의식이 문제를 푼다는 낭설이 있는데, 낭설이다.
실제로는 기존의 (실패한) 접근 방법을 잊어버리고 새롭게 접근해서 문제가 풀리는 것이다.
그러니 넘어가려면 잠깐 동안은 아예 잊어주는 편이 오히려 좋다.
수학적 사고에서 문제 풀이 과정을 진입 → 공격 → 검토라고 했다.
처음에 수학 문제에 진입하기 위해서 아는 것과 원하는 것(목표)을 확인하는 게 중요하다. 그 과정에서 구체화를 적극적으로 사용해 문제를 알아보는 것도 좋은 방법이다. 그렇게 하다보면 자연스럽게 공격 단계로 들어간다.
공격 단계는 당연하게도 문제를 푸는 주된 단계이다. 구체화와 일반화를 시도하며 암초를 만나기도 하고, 가설을 세우기도 하면서 문제를 풀어 나간다.
최종 단계는 시험이 아니라 공부라면 가장 중요한 단계인 검토 단계이다.
검토는 풀이 과정을 다시 확인해보면서 시작한다. 계산 실수를 확인하거나 미흡했던 가설을 입증하거나 더 좋은 풀이를 떠올려보거나 한다. 이때 풀이 검토하면서 핵심적인 생각을 정리해두면 좋다.
수학 문제 풀이의 공부는 검토 단계에서 이루어지지만 실상 답 맞추면 다시 안 보는 경향 때문에 가장 무시 받는 단계이다. 풀이 과정이 눈에 선하고 쉬운 문제에 다시 매달릴 필요는 없다. 하지만 단지, 답을 맞혔다는 이유만으로 무시 받는 문제가 있는지 생각해봤으면 좋겠다.
| 인지과학과 문제해결: 수학 공부와 문제해결 (2) | 2019.05.11 |
|---|---|
| 인지과학과 문제해결: 2018학년도 수학 영역 30번 (2) (0) | 2019.05.11 |
| 인지과학과 문제해결: 2018학년도 수학 영역 30번 (1) (0) | 2019.05.11 |
| 인지과학과 문제해결: Top-down VS Bottom-up (0) | 2019.05.11 |
| 인지과학과 문제해결: Problem Space (0) | 2019.05.11 |
| 인지과학과 문제해결: prologue (0) | 2019.05.11 |
댓글 영역